Le titre peut paraitre barbare et ennuyeux au premier abord, mais il ne faut pas se décourager par un titre ayant l’air trop savant, car nul besoin d’avoir fait Math Sup pour comprendre à quoi servent les Equations Différentielles Partielles, EDP en abréviation.

Simulation du bruit dans un moteur d’avion à réaction (Comsol)
Les dérivées partielles
De nombreuses disciplines de la physique ont pour mission de décrire des phénomènes de transport et de propagation. Pour décrire de tels phénomènes, il paraît naturel de vouloir décrire l’évolution de certaines grandeurs physiques dans le temps et dans l’espace.
- Les phénomènes de transport illustre le transport de grandeurs physiques via le déplacement de matière. Exemple : on souhaite décrire l’évolution temporelle et la répartition spatiale de la vitesse du sang à travers le réseau vasculaire lors des ramifications des artères et des vaisseaux sanguins.

Vitesse du sang lors de ramifications (simulation personnelle)
- Les phénomènes de propagation sont quant à eux responsables de la propagation de grandeurs physiques sans qu’il y ai nécessairement de transport de matière. Exemple : on souhaite décrire l’évolution de la température dans une barre de métal chauffée à une extrémité (propagation de la chaleur dans le métal). Les phénomènes ondulatoires comme le son, la lumière ou les vagues des océans sont également des phénomènes de propagation. Ces propagations peuvent avoir besoin d’un milieu pour se propager (le son dans l’air, les vagues dans l’eau) ou pas (la lumière dans le vide).


Si cette dérivée partielle est égale à 2, cela signifie qu’à chaque seconde (dt = 1s), la température augmente de 2 °C (dT=2°C). En 10 secondes, la température aura donc augmentée de 20°C. On peut faire de même dans une direction de l’espace : prenons par exemple la variation de la température dans la barre de métal selon la direction horizontale appelée x (prononcez « D rond T sur D rond x ») :

Si cette dérivée partielle est égale à -25, cela signifie qu’à chaque mètre (dx=1m), la température diminue de 25 °C (dT = -25°C). Si la barre mesure 5 mètres de long, il y aura une différence de 125°C entre le bout chauffé et l’extrémité de la barre.
Les champs d’application
Voici une petite liste (non exhaustive) des disciplines qui utilisent les EDP comme support mathématique avec un exemple d’équation différentielle partielle dans chaque domaine:
- La mécanique des fluides : décrit l’écoulement des fluides (équations de Navier-Stockes)
- La mécanique des structures : étudie la déformation des matériaux sous contraintes mécaniques (équations de la résistance des matériaux).
- La thermodynamique : décrit les transferts de chaleurs (équation de Fourier)
- L’électromagnétisme : décrit la propagation de la lumière (équation de Maxwell)
- La gravitation : décrit les champs gravitationnels (équations de la relativité générale d’Einstein)
- La mécanique quantique : décrit l’évolution de particules non relativistes (équation de Schrödinger)
- La biologie: décrit l'évolution de populations d'individus (équation de diffusion et de
réaction)
Les équations de Navier-Stockes
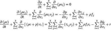
Unes des EDP les plus connues sont les équations de Navier-Stockes qui datent du 19ème siècle. Elles permettent de décrire l’écoulement des fluides, c’est-à-dire des gaz et des liquides. Elles sont utilisées pour décrire de très nombreux phénomènes très divers comme les mouvements de l’air dans l’atmosphère, les courants océaniques, les profils aérodynamiques des avions, l’écoulement dans les tuyères de lanceurs spatiaux, la circulation sanguine, l’écoulement d’eau dans une conduite ou encore la circulation d’hélium à température cryogénique pour refroidir un accélérateur de particules (c’est cette dernière application qui a motivée une partie de ma thèse).

Les équations de Navier-Stockes sont composées de 3 équations (dites bilan massique, bilan des moments et bilan énergétique). On peut les représenter de la manière suivante selon les 3 dimensions de l’espace (x1, x2 et x3) et du temps (t) :

Si quelqu’un trouve une solution à ces équations, merci de me la faire parvenir par email car c’est un problème à 1 million de dollars ! En effet, l’institut Clay basé à Cambridge a formulé 7 problèmes pour le nouveau millénaire et il offre 1 million de dollars à qui trouve un de ces 7 problèmes dont l’équation de Navier-Stokes fait partie. A ce jour, un problème a déjà été résolu : la conjecture de Poincaré résolue en 2003 par le mathématicien russe Grigori Perelman. Pour voir l’énoncé précis à résoudre pour Navier-Stokes : http://www.claymath.org/millennium/Navier-Stokes_Equations/navierstokes.pdf
Simuler des Equations Différentielles Partielles
Les équations différentielles partielles sont généralement très complexes à résoudre ou alors elles possèdent des solutions pour des cas bien particuliers, généralement simples et non exploitables. De plus, ces équations sont le plus souvent non-linéaires car la somme des causes n'induit pas une simple addition des effets et l'analyse des différents phénomènes physiques est rendue complexe.
Dans la majorité des grandes installations industrielles, de nombreux problèmes d’ingénierie nécessitent la résolution de telles équations et l'expérimentation est généralement limitée. La simulation numérique constitue alors le seul moyen d'appréhender ces systèmes pour les étudier, les concevoir et les optimiser.
La modélisation
La première étape de la simulation est la démarche de modélisation qui consiste à mettre sous forme d'équations mathématiques les phénomènes qui nous intéressent. Si la démarche de modélisation à partir des équations de la physique est choisie, il en résulte généralement des EDP non-linéaires. Contre toutes attentes, il ne suffit pas d'injecter ces équations dans un ordinateur pour obtenir des résultats. Un modèle se bâtit au fur et à mesure pour prendre en compte de plus en plus de phénomènes et ce n'est jamais un modèle unique qui est développé mais une multitude de modèles ayant différents degrés de complexité.
De plus, les équations de la physique possèdent toujours un cadre de validité et la question de savoir si une équation physique est applicable à un problème précis doit toujours être posée et évaluée méticuleusement. Par exemple, la théorie de la gravitation de Newton peut être utilisée pour étudier la chute d'une pomme sur Terre mais cette théorie devient inefficace pour étudier le mouvement de certains objets célestes où la théorie de la relativité générale d'Einstein doit être considérée. Il est donc primordial avant tout travail d'identifier clairement les paramètres et les phénomènes pertinents pour l'application considérée et de faire un choix d'équations approprié.
De plus, la démarche de modélisation doit faire face à deux problèmes d'interaction :
- Le couplage entre plusieurs phénomènes physiques (thermodynamique et mécanique des fluides par exemple)
- Le couplage entre plusieurs échelles (phénomènes microscopiques et macroscopiques)
En effet, dans la réalité, les phénomènes de différentes disciplines peuvent interagir ensemble : par exemple, pour étudier une cuve d’électrolyse d’aluminium (procédé industriel assez classique), la mécanique des fluides et l’électromagnétisme interagissent donnant ainsi naissance à une autre discipline qui porte le doux nom de magnéto-hydro-dynamique. Dans ce cas, les EDP interagissent entre elles, ce qui entraine encore de la complexité!! On parle désormais de modélisation multiphysique permettant de coupler les différents phénomènes entre eux et c’est un domaine de recherche actif qui sert les ingénieurs au quotidien.
Le calcul scientifique
La deuxième étape essentielle de la simulation est la méthode de calcul scientifique pour résoudre numériquement un ensemble d'EDP. La puissance de calcul des ordinateurs n'a cessé d'augmenter durant les dernières décennies et des outils avancés de modélisation et de simulation numérique ont énormément progressé. Lorsque des systèmes complexes n'ayant pas de solutions analytiques devaient être étudiés sans l'informatique, il était nécessaire de construire des prototypes, des maquettes et de procéder ensuite à des mises à l'échelle. Il fallait procéder empiriquement pour comprendre, améliorer et optimiser ces systèmes. De nos jours, les outils informatiques modernes de modélisation nous permettent de simuler le comportement dynamique de systèmes complexes.
La méthode de calcul la plus connue pour simuler de telles équations est la méthode des éléments finis qui consiste à découper les objets étudiés en de petits éléments (des triangles par exemple en 2D ou des cubes en 3D) et de résoudre les EDP dans chaque petit élément à intervalles de temps régulier. Dans ce cas, on parle de discrétisation des EDP, c’est-à-dire qu’on les « casse » en des milliers de petites équations simples que les ordinateurs savent résoudre. Ce sont les résultats de ces simulations que vous pouvez souvent apercevoir dans des magazines ou des publicités. Maintenant vous pourrez vous dire que tous ces petits carrés colorés sont les résultats de milliers de petites équations obtenues à partir d’équations aux dérivées partielles !

Pour avoir un aperçu de toutes les applications possibles, je vous conseille de regarder le site de Comsol qui édite un logiciel de simulation basé sur les éléments finis : http://www.comsol.fr/showroom/
Par Benjamin Bradu - Publié dans : MathématiquesEcrire un commentaire 1 - Voir le commentaire - Voir les 1 commentaires - Recommander Précédent : Une carte des blogs du C@fé des Sciences Retour à l'accueil

LES COMMENTAIRES (1)
posté le 21 août à 22:03
J'ai la solution qui répond aux critères spécifiés dans 'http://www.claymath.org/millennium/Navier-Stokes_Equations/navierstokes.pdf', je l'ai proposée aux journaux indiqués mais en vain. Aurait tu une idée pour la diffusion utile de ces résultats.