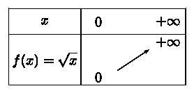
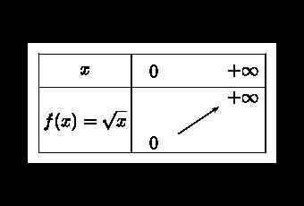
Les diagrammes suivants, bien que très usuels m'ont posé pas mal de difficultés pour les insérer dans une publication numérique. Entre solutions longues et parfois bancales, je jonglais plus ou moins habilement avec les logiciels dont je disposais et des copies d'écran pas toujours de bonne qualité.




Pour réaliser ces diagrammes, il suffit d'installer PstPlus de le configurer correctement comme c'est expliqué. Attention, il faut indiquer pour Windows, le chemin de gswin32c.exe et non de gswin32.exe associé à Ghostscript. Il faut aussi installer une distribution Latex.
Une fois ces opérations réalisées, on peut générer un fichier en .eps à partir des différents assistants.

Il suffit ensuite d'utiliser un convertisseur en ligne pour obtenir une image. Pour ma part j'ai utilisé epsconverter, très facile d'emploi.
