Avez-vous des exemples de preuves sans mots comme l'illustration suivante, que je trouve excellente?


A chaque couple de la dernière ligne correspond un unique point jaune... d'où le résultat.
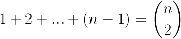
Avez-vous des exemples de preuves sans mots comme l'illustration suivante, que je trouve excellente?


A chaque couple de la dernière ligne correspond un unique point jaune... d'où le résultat.