Qu'il s'agisse de la longueur des jupes, des rythmes de chansons, du choix des prénoms ou de la race de chien préférée, certaines manies collectives sont souvent des choix volatiles et peu d'entre eux persistent à l'épreuve du temps. Il s'agit de phénomènes de mode.
Au moins depuis le XVIIème siècle, les modes sont consédérées comme un produit de la stratification sociale, où les couches sociales les moins favorisées copieraient celles qui seraient le plus.
Le modèle proposé remplace et améliore deux modèles existant qui ne modélisent pas de façon correcte les phénomènes de mode.
Le modèle neutre est simple et modélise une recopie aléatoire des traits culturels. Il ne répond pas correctement au problème, car il semblerait que les personnes effectuent des choix positifs et d'autres négatifs.
Le modèle d'état prend en compte ce constant en considérant que les individus de statut élévé sont anti-conformistes alors que ceux de statut moindre sont conformistes.
Le modèle proposé par Acerbi et d'autres chercheurs, nommé modèle de préférence, introduit le fait que les personnes peuvent copier des traits culturels mais aussi les préférences associées, les règles de transmission pouvant ainsi évoluer dans le processus de recopie contrairement à un modèle génétique par exemple. La co-évolution de la recopie d'un trait et de sa préférence sont suffisantes pour générer un phénomène de mode. L'augmentation rapide de la popularité est corrélée avec sa diminution rapide ainsi l'augmentation lente avec la lente disparition. Ce phénomène a été démontré pour le choix des prénoms en France et aux Etats-Unis.
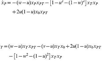
L'idée principale du modèle est que la préférence pour un trait culturel est définie elle-même comme un trait culturel, le trait initial et la préférence pouvant être copiés de façon indépendante dans un système dynamique de modèles et d'observateurs.
Voilà le système différentiel:

Pour le reste de l'article c'est sur Plos ONE en anglais.
