Est-ce possible de deviner l'orientation sexuelle de quelqu'un sur son visage ? C'est la curieuse question que se sont posée ces chercheurs de l'Université de Washington et de l'Université Cornell qui publient leurs conclusions dans l'édition du 16 mai de la revue PLoS ONE. Si l'étude conclut que l'on devine cette orientation sexuelle de l'autre, plus souvent que le taux de probabilité, elle rappelle aussi, que les gens peuvent inconsciemment aller jusqu'à porter des jugements sur l'orientation sexuelle, en voyant un visage pour la première fois. Un jeu dangereux, donc.

Une zone sensible : Les auteurs précisent que tenter de deviner la sexualité d'une autre personne peut être une « zone sensible », même si leur étude n'explore pas les conséquences de ce jugement hâtif ou de ce préjugé sur la sexualité d'un autre. Une personne perçoit un visage humain soit en examinant certains traits du visage comme le nez ou les yeux ou encore en examinant la relation entre les traits du visage, tels que la distance entre les yeux. Les chercheurs ont donc mené 2 expériences.
· Dans la première, 24 étudiants de l'Université de Washington dont 19 femmes ont visionné 96 photos de jeunes hommes et femmes adultes et les ont classés « hétéro » ou « homo », aussi rapidement et précisément que possible. Les photographies étaient projetées durant 50 millisecondes soit le tiers du temps nécessaire pour cligner de l'œil.
· Dans la seconde, 129 étudiants dont 92 femmes et 37 hommes ont réalisé le même exercice mais avec des photos de visages projetées à la verticale ou à l'envers. L'expérience était conçue pour baser la réponse des participants non pas sur les traits mêmes du visage mais sur la relation/distance entre les traits du visage.
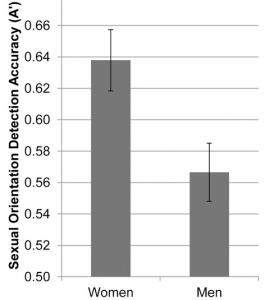
Pas de jugements hâtifs ! La principale conclusion est que nous sommes en mesure de déterminer l'orientation sexuelle de quelqu'un plus souvent qu'un choix au hasard (soit avec un taux de réussite de 50%) : dans la première expérience, à 65% pour les femmes et à 57% pour les visages d'hommes. Dans la deuxième expérience, le taux de réussite est moins important (61% pour les femmes et 53% pour les hommes). Les chercheurs se déclarent surpris du taux de réussite des participants, sur seulement 50 millisecondes mais soulignent l'importance de ne pas avoir de préjugés sur la sexualité de l'autre, et entre autres raisons, compte-tenu du taux d'erreur également constaté.
Source: PLoS One. Published online May 16 2012 e36671. doi:10.1371/journal.pone.0036671 The Roles of Featural and Configural Face Processing in Snap Judgments of Sexual Orientation.

Accéder aux dernières actualités sur la Sexualité
