Oui j’ai abandonné mes lecteurs , hier , en prêtant ma voix à mon petit-fils , sur un constat d’incompréhension des propriétés de l’échelle quantique dans leur globalité …… et je vais tenter de revenir progressivement sur leur examen et n’ avancer mes pions qu’ un par un ……Ne me gardez pas rancune si je conserve encore aujourd’hui ce style de présentation sous forme de dialogue imaginaire et quelque peu stressant peut-être ?!
Es –tu bien sur PAPY , d’avoir à m’imposer , en me rapetissant à une échelle quantique , ce concept si bizarre , qui permet à une particule d’être presque partout à la fois ?
Tu as raison PIERRE et si j’ai volontairement mélangé l’idée de non localité de la fonction d’onde et la superposition des « états » avec le concept de communication non locale dans le phénomène d intrication , je dois maintenant essayer de te montrer les différences …….
Pour commencer , ne mélangeons pas les torchons et les serviettes : les découvreurs de la mécanique quantique n'auraient-ils pas conçu un outil qui, comme un microscope à faible résolution incapable de révéler des détails fins, révélerait une vision du monde, non pas fausse, mais imparfaite ? Dans ce cas, les lois qu’ ils déduiraient de leurs résultats expérimentaux seraient en fait dépendants de l’ »état de l’art » et donc aussi imprécis que ce dernier... ! De fait, quand un modèle météorologique déduit des données antérieures qu’ il fera entre 5 °C et 10 °C pour midi,à tel endroit , cela ne signifie pas qu'à midi il fera toutes les températures entre 5 °C et 10 °C en même temps, mais que le modèle n'est pas assez précis pour des données chronologiques peut-être insuffisantes…... Puis, quand cette heure arrive et que le thermomètre affiche 7 °C ,tu n’as que le droit de te dire PIERRE que le modèle a fait une approximation correcte et ne pas te plaindre ….. Il ne faut pas en particulier revendiquer comme l’ont fait certains physiciens , qu'avant la mesure, une particule occupe simultanément avec tous ses états tout le volume de sa probabilité de présence d’ onde……. Et surtout pousser à l’ extrême en affirmant que c’est en contactant L’OBSERVATEUR et son détecteur, que l « état » se "réduit" en un lieu parfaitement unique mais imprévisible à l'avance…. Il suffirait de concéder que par exemple le photon est en apparence localisé, qu'il suit une trajectoire parfaitement bien déterminée, mais que la théorie n'est pas assez complète pour le préciser. E t alors cette si bizarre propriété d’ubiquité ( non-localité) – dire « la particule est ici et là en même temps »- serait une façon détournée de dire : elle est ici ou bien là, mais je ne suis pas capable de le caractériser clairement tant que ma technologie et mes équations resteront incomplètes .Cela a été l’attitude d’EINSTEIN …….
-Alors dans ce cas , Papy , le jour où l’on aura l’instrument de la mesure parfaite , ce flou et cette non localité des états tomberont ??
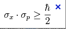
- Hélas non PIERRE ! La précision des instruments de mesure résulte certes d’une technologie plus ou moins perfectible mais il existe bel et bien un flou quantique irrépressible et tu as le droit de te poser la question : que verrions-nous si le réel était quantique à notre échelle ? La réponse vient d HEISENBERG ! L’impulsion et la position d’un microphénomène ne sont jamais mesurables simultanément …( cf. ma photo)

il existe une fluctuation sur chacun d’eux indépendante des performances de mesure et de ce fait la marge de fluctuation sur l’un limite la marge de fluctuation sur l’autre !!! Et comme toute particule se révèle aussi onde , alors on se trouve limité à l’observation la plus fine possible , qui est celle de la longueur d’onde unitaire observée …..ET ON NE SAIT PAS « RENTRER A L’INTERIEUR DES TRIPES » d’une longueur d’onde !!!
Si l'on envisage notre monde sur le mode quantique, on peut alors se figurer que toute chose est floue et indéterminée... sauf une partie de ce que l'observateur regarde. Et c’est son choix ! Là où ses yeux se portent, le paysage devient net, mais pas la vitesse des objets déterminés et vice versa . Le physicien doit se contenter quand il mesure qu’ il n’y ait de clairement matérialisé qu’ un unique lieu et qu’ un unique état. Le reste se résume à des probabilités. C’est déjà ça !
Mais je n’ai pas terminé avec la non localité en général !( photo du vieux papy AU MILIEU D UNE BELLE JEUNESSE!)

A SUIVRE
