
La Méthode de Singapour demande de passer par trois étapes pour une multiplication par un nombre à plusieurs chiffres, au début, pour ne pas oublier:1/ l'estimation de l'opération2/ le mariage de nombre du multiplicateur en dizaine(s) et unité(s)3/ enfin la multiplication posée avec (ou sans) l'inscription des étapes.

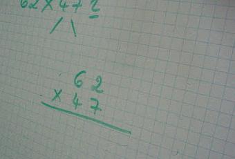
soit 62x47:
1/ l'estimation est 60x50=3 000
2/ 47 est composé de 40 et de 7 (mariage de nombre mettant en évidence les dizaines, les unités... il faudra pareillement, j'imagine, mettre en évidence les centaines etc)
3/ la multiplication est posée en colonne et sur chaque ligne de calcul est rappelée l'opération correspondante. Et oui, l'erreur souvent produite est dans ce cas de mettre sur la seconde ligne 248 sans compter le 0 des unités. Le fait d'avoir estimer et d'avoir bien décomposé le multiplicateur permet de vérifier le résultat tranquillement.
