Bonjour à tous,
En analysant de façon dimensionnelle la formule de Poiseuille chaque jour d'un peu plus près, je me demandais si le temps, dans un débit de fluide, était lui-même modifié par la pression ou "charge de l'énergie entrante".
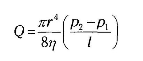
Pour rappel, le débit Q est égal à ceci:
Il faut savoir qu'on ne peut trouver la trace (séparée) du temps QUE dans la viscosité (êta), qui est un potentiel en m² / sec. Valeur des signes: le différentiel de pression [ P(1) - P(2) ] se calcule en m² /sec², l est une longueur en mètre, et le r4 est un rayon4 en mètre4; Q est un débit en m3 / sec et Pi est un scalaire).
Donc (après factorisation) on en arrive à la conclusion que le temps de Poiseuille (qui s'apparente à une conductivité) vaut ceci:T = 8 L / vit
Cela n'a l'air de rien, mais on peut virtuellement dire que dans un conduit de longueur L, la viscosité pousse le temps à s'enrouler littéralement pour se retarder 8 fois plus que nécessaire. C'est très intéressant. Car la viscosité est dimensionnellement similaire au magnétisme..

L'espace est un effet de la lenteur* du flux du temps.
C'est pourquoi, en dépliant le temps de Poiseuille par magnétisme, nous allons franchir par téléportation d'un fluide d'une section "ici" à une autre "là-bas" (planète Proxima Centauri, par exemple) faire franchir à un fluide (avec équipage à l'intérieur) une distance.. qui serait inimaginable dans les conditions techniques normales.
*"L'espace est un effet de la résistance au flux du temps", résistance qui ne se trouve que dans la viscosité de Poiseuille.
